活動地點:自強樓3F生涯專科教室
講座內容 : 期中的學習資訊大補帖來了! 每場限定35人, 錄取名單將提前公布。
第一場10/22(週二中午12:10-12:55)由本校112-113年該學科學測滿級分之學姊們親自為本場講座錄製,內容談到自己克服心魔及突破讀書的秘訣, 內容真摯而珍貴。
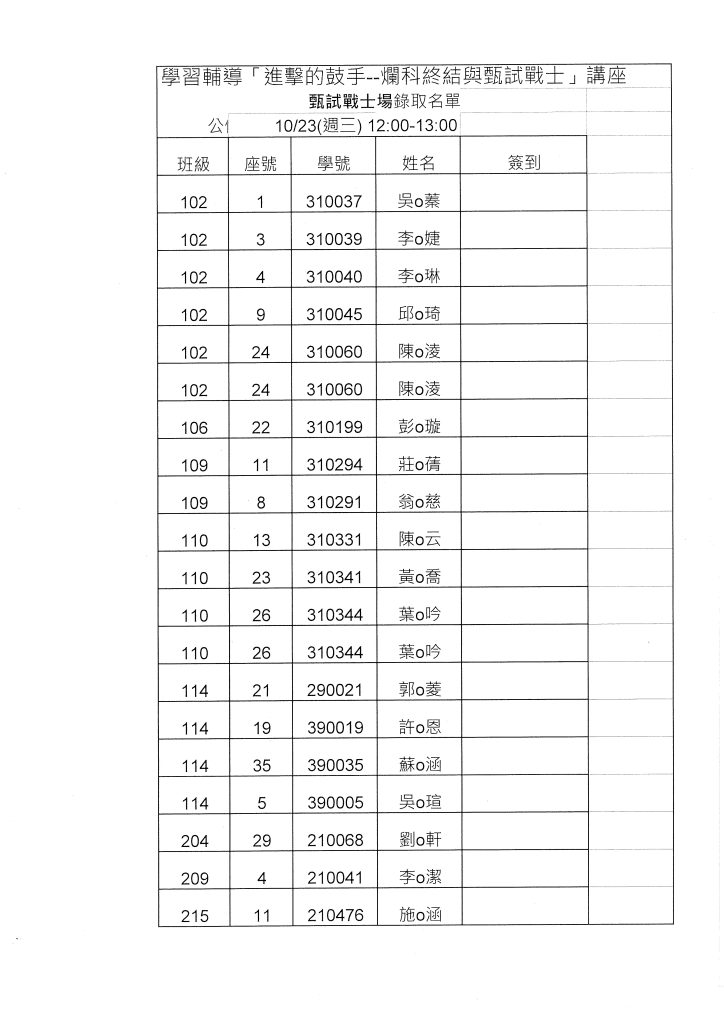
第二場10/23(週三中午12:10-12:55)由本校112-113年透過特殊選才與繁星推薦上榜的學姊錄製經驗分享內容。
1.錄取名單:
10/22爛科終結場


10/23甄試戰士場


2.已報名而缺席占用名額者,將不錄取輔導室的下場活動喔
3.當日用午餐時間請自行調整。

